Investigation of New Material and Technology
Approaches for Continuous Inline-Forming and Consolidation of Textile Reinforcements
Prof. Dr.-Ing. Dipl.-Wirt. Ing. Prof. h.c. Thomas Gries
• Project
manager
Martin Scheurer M.Sc.
• Research
associate
Dr.-Ing. Kira Heins
• Research
associate
Project B03
Development of New Interphases Based on Organic/Inorganic Layered Structures
for Continuous Fibre Reinforcements
Prof. Dr.-Ing. Christina Scheffler
• Project
manager
Dipl-Ing. Toni Utech
• Research
associate
Project C03
Computational Homogenization and
Multi-Scale Modelling Employing an Image-Based Approach
for the Structural Analysis of Shells
Prof. Dr.-Ing. Sven Klinkel
• Project
manager
Leonie Mester M. Sc.
• Research
associate
Project C05
Multiscale method for the simulation of the
resilience and the fracture behaviour of heterogeneous structures
Prof. Dr.-Ing. Stefan Löhnert
• Project
manager
Dipl.-Ing. Verena Curosu (born
Klempt)
• Research
associate
Project D02
Principles for the Extrusion of Carbon-Reinforced Concrete Structures
Prof. Dr.-Ing. Michael Raupach
• Project
manager
Prof. Dr.-Ing. Thomas Matschei
• Project
manager
Dr.-Ing. Cynthia Morales Cruz
• Research
associate
Project D03
Development of Advanced Tomography Data Analysis Techniques and
Tomography
Prof. Dr. sc. techn. habil. Hans-Gerd Maas
• Project
manager
Franz Wagner M.Sc.
• Research
associate
Project B*
Target-oriented mixture development of geopolymers based on
calcined clays and natural pozzolans for material-minimised carbon-reinforced concrete
structures
Prof. Dr.-Ing. Anya Vollpracht
• Project
manager
Henning Kruppa M. Sc.
• Research
associate
Project S
Tomography
Prof. Dr. sc. techn. habil. Hans-Gerd Maas
• Project
manager
Prof.-Ing. Sven Klinkel
• Project
manager
Dr.-Ing. Frank Liebold
• Research
associate
Project B03
group_add
Contribution to the demonstrator:
• Development of stable nanoclay/polymer-
dispersions for self-assembled layered
structures
• Investigation of fiber-matrix
interaction with new binders of B*
• Providing data for modelling in C05
• Upscaling and application of coatings
to the textiles provided by B02
Project B02
group_add
Contribution to the demonstrator:
• Investigation of impregnation materials
with delayed curing reaction (prepregs) or thermoplastic impregnations
• Investigation of fiber-matrix
interaction
• Investigation of shapeability of
concrete in green state with prepreg reinforcement
• Production of textile reinforcement
• Impregnation of textile reinforcement
Project C03
group_add
Contribution to the demonstrator:
• Development of a multiscale method for
the analysis of carbon-reinforced concrete components
• Incorporation of computed tomography
data to enhance mesoscopic description (together with D03 and S)
• Assessment of production accuracy
(together with D03 and S)
• Quantification of influence of textile
geometry and position on overall shell stiffness components
Project C05
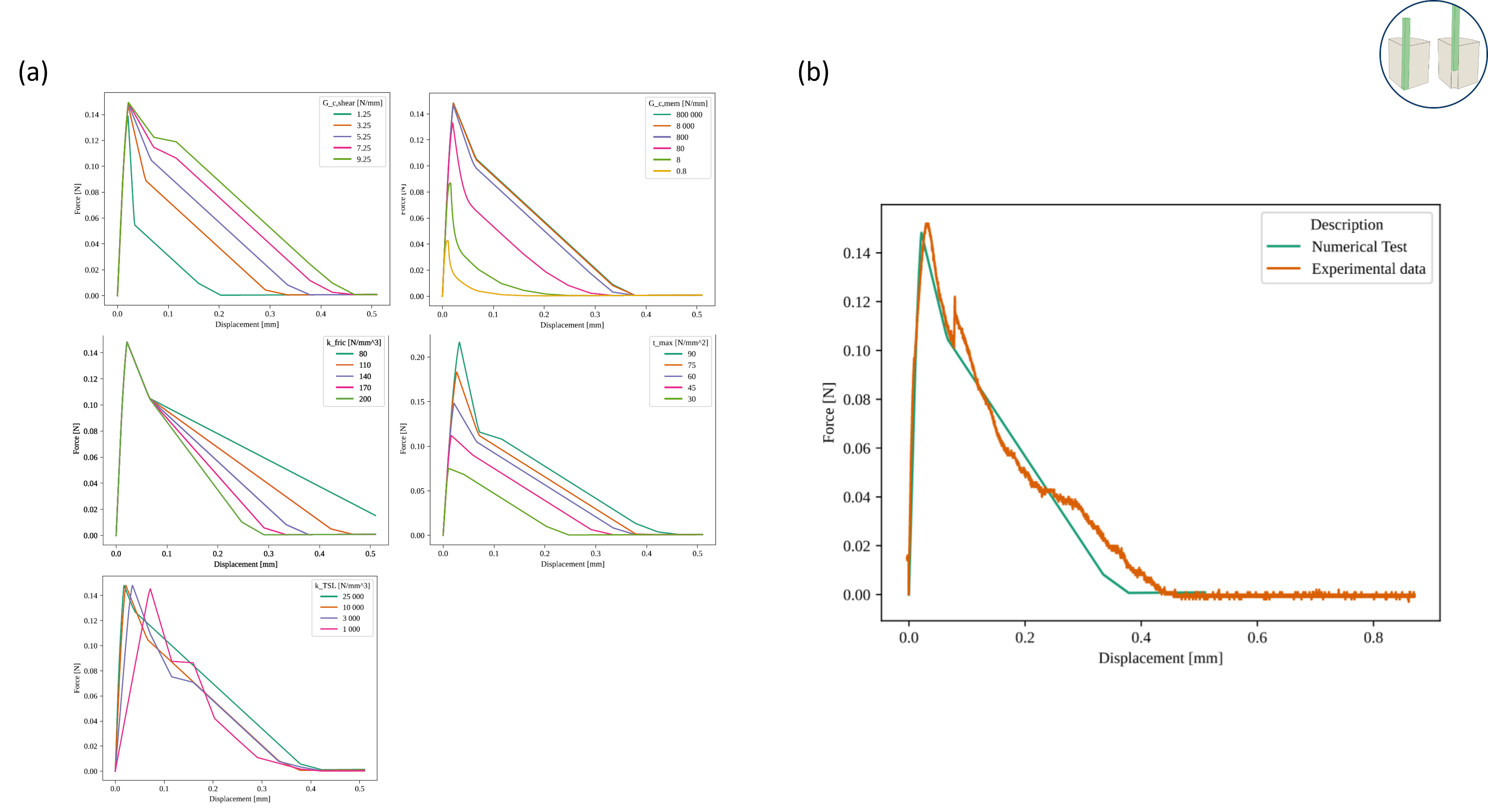
group_add
The Demonstrator as resource:
• Received experimental data from B03 of
the single-fiber pull-out (SFPO) test for the fitting of the MMECZE
• Received experimental data from C01 of
the material behavior of plain concrete of C01 for the initial fitting of the DPC MP
plasticity model
• Receiving experimental data from B01
and B03 of pull-out tests of carbon rovings from concrete (planned)
• Receiving of experimental data from C01
and C06 of additional plain concrete samples under different load conditions for final
fitting of the DPC MP (planned)
• Receiving of experimental data from C02
of precracked plain concrete samples under specific load conditions for the calibration and
validation of the crack friction model (planned)